1. 피보나치 수열
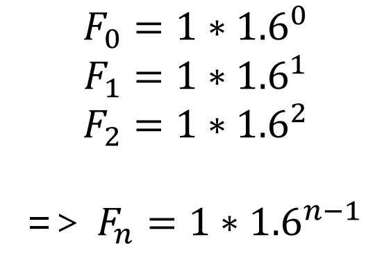
피보나치 수열의 점화식은 아래와 같이 구할 수 있다.

2. 32bit 시스템에서 피보나치 수열은 최대 몇까지 구할 수 있을까?
우선 32bit 시스템에서 정수는 2^32까지 표시할 수 있다.
피보나치 수열의 황금비가 1.6이라고 가정했을때, 아래와 같은 수식이 구해진다.

그럼 이를 이용해서 n을 구해보자

그런데, 1.6^44을 해보면 957,809,713가 나온다.
n을 잘못 구한 걸까?
맞다. n은 47.1926... 이다.
왜냐하면, log5가 2.25가 아니라, 2.32...이기 때문이다.
아쉽네, 아쉽다.
오랜만에 보는 log에 당황을 많이 했다.